November 3, 2022

Diamond Drilling Intersects Thick, Rare Earth Element (REE) Mineralisation, Open at Depth and Along Strike at Eureka

HALIFAX, NOVA SCOTIA – November 3, 2022 – E-Tech Resources Inc. (“E-Tech or the Corporation”) (TSX-V:REE) is pleased to announce that its Phase 2 diamond drilling program has again successfully intersected shallow and thick REE mineralisation at its 100% owned Eureka REE Project

Highlights from the diamond drilling include:

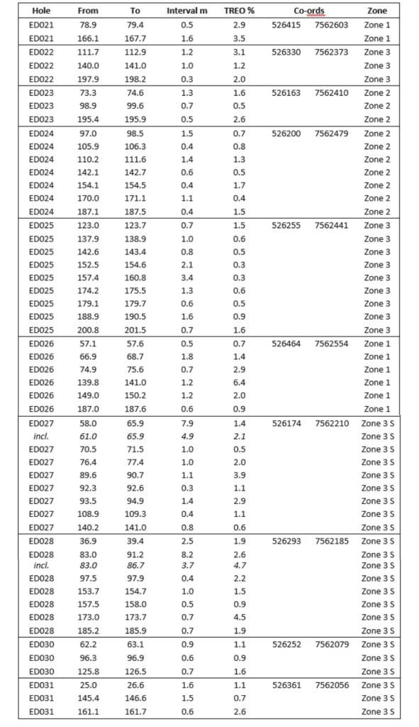
  • Drill Hole ED028 intersected 8.2m at 2.6%TREO from 83m (including 3.7m at 4.7% TREO)
  • Drill Hole ED027 intersected 7.9m at 1.4%TREO from 58m (including 4.9m at 2.1% TREO)

Jim Megann, Interim CEO commented, “The significant scale potential of the Eureka Project continues to be underscored by our repeatable quality REE results and we look forward to further drilling commencing this month. These intercepts of shallower and wider zones of mineralization will add significant tonnage potential to the current Zone 1 and 3 areas.

A total of 376 samples (including standards, duplicates and blanks) from the 11 hole 2226 meter diamond drilling program have been analysed. The objective of this diamond drill program was to gain a firm understanding of the structural and lithological controls on mineralization at Zones 1, 2 and 3. Following this program, further RC and diamond drilling will be undertaken over these new areas as well as those already identified along strike.

The recently completed detailed magnetic and radiometric ground survey has resulted in the identification of anomalies prospective for REE mineralization. The magnetic data indicates that there is potential for similar styles of REE mineralization up to >4km in strike extent, with significant potential identified beyond the initial drilling targets. The company is therefore currently undertaking a full review of all its exploration results and data received to date, with a view to announcing our next stage of exploration.

Christopher Drysdale, Director added, “These diamond drilling results represent the final outstanding drill results from the Phase 2 drill program conducted earlier this year. Our understanding of the petrophysical properties of the Eureka project has expanded exponentially. This understanding has continued to identify new targets and trends, and on which to date we have not conducted any drill testing. We look forward to receiving more exploration results and to inspecting the new targets on our project area.”

Diamond Drilling Intersects Thick, Rare Earth Element (Ree) Mineralisation, Open at Depth and Along Strike at Eureka

FIGURE 1: Plan view of drill hole positions at Eureka illustrating all assay results received from diamond drilling campaign. Purple areas represent the current 2021 Mineral Resource Estimate (MRE).

E-Tech Resources TABLE 1: Significant intercepts from the 2022 Diamond Drilling campaign.

TABLE 1: Significant intercepts from the 2022 Diamond Drilling campaign. *
*Hole locations are provided in UTM Zone 33S. Reported intercepts are drilled lengths while the true thickness of the mineralisation is estimated to range between 60 and 80 per cent of the drilled lengths. Further drilling is necessary to establish the true thickness of the mineralisation.

Eureka Project Technical Disclosure
The current Mineral Resource Estimate (“MRE”) for the Eureka Project was prepared by SRK Consulting (UK) (“SRK”) effective from 2 August 2021, while an independent Technical Report titled “Independent Technical Report: Eureka, Rare Earth Project, Namibia” was released on the 15 September 2021 and prepared by SRK, supporting the disclosure of the MRE, and is available on SEDAR and the Corporation’s website. (https://rareearthexploration.com)

Quality Assurance / Quality Control
All E-Tech sample assay results have been independently monitored through a quality assurance / quality control (“QA/QC”) program including the insertion of certified reference standards, blanks and duplicate samples. QA/QC samples make up 10% of all samples submitted. Drill core is sawn in half on site and half drill-core samples are securely transported to Activation Laboratories Ltd. sample preparation facility in Windhoek, Namibia. The core is dried, crushed to 90% passing 2 mm, riffle splitting a 250 g sub-sample and pulverizing to 95% passing 105 µm. Sample pulps are sent to Activation Laboratories Ltd. in Ontario, Canada for analysis. REE analysis is by method 8-REE. The sample is milled to 95% -200 mesh. To ensure complete fusion of resistate minerals, lithium metaborate/tetraborate fusion is used with analysis by ICP-OES and ICP-MS.

Qualified Person
Pete Siegfried, BSc. (Hons), M.Sc., is a Consulting Geologist and director of GeoAfrica Prospecting Services CC. Mr Siegfried has reviewed and approved the scientific and technical information in this news release. Mr. Siegfried is a member of The Australasian Institute of Mining and Metallurgy (AusIMM) membership number: 221116 (CP Geology), and a Qualified Person for the purposes of National Instrument 43-101.

About E-Tech Resources Inc.
E-Tech Resources Inc. (TSX.V:REE) is a rare earth exploration and development company focused on developing its Eureka Rare Earths Project in Namibia. The Eureka Project is located approximately 250 km north-west of Namibia’s capital city Windhoek and 140 km east of Namibia’s main industrial port Walvis Bay. The project is situated next to the national B1 highway in the Erongo Region of Namibia. The Eureka deposit lies in the Southern Central Zone of the Neoproterozoic Damara Belt within Exclusive Prospecting Licence (“EPL”) number EPL 6762; which covers Eureka Farm 99 and Sukses Farm 90. Namibia is recognized as one of Africa’s most politically stable jurisdictions, with an extremely well-established national infrastructure and a clear and transparent mining law.

Further details are available on the Corporation’s website at www.rareearthexploration.com or contact Jim Megann, CEO of E-Tech Resources Inc., at +1 902 334 1949

Cautionary Statements
This press release may contain forward-looking information, such as statements regarding the completion of the work in Namibia by E-Tech and future plans and objectives of E-Tech. This information is based on current expectations and assumptions (including assumptions in connection with the continuance of the applicable company as a going concern and general economic and market conditions) that are subject to significant risks and uncertainties that are difficult to predict, including risks relating to the ability to satisfy the conditions to completion of exploration programmes and work in Namibia. Actual results may differ materially from results suggested in any forward-looking information. E-Tech assumes no obligation to update forward-looking information in this release, or to update the reasons why actual results could differ from those reflected in the forward-looking information unless and until required by applicable securities laws. Additional information identifying risks and uncertainties is contained in filings made by E-Tech with Canadian securities regulators, copies of which are available at www.sedar.com.

Neither TSX Venture Exchange nor its Regulation Services Provider (as that term is defined in policies of the TSX Venture Exchange) accepts responsibility for the adequacy or accuracy of this release.